Verify AISC DG4 Bolt No Prying Assumption
AISC DG4 Is Used
Bolt Moment Strength (No Prying)
bolt grade
= A325-N
Ft
= 90.0
[ksi]
AISC 14th Table J3.2
bolt dia db
= 0.750
[in]
bolt area Ab
= 0.442
[in2]
Bolt norminal tensile strength
Pt
= Ft Ab
= 39.76
[kips]
AISC 14th Eq J3-1
Tension bolt moment arm
h1
= 10.015
[in]
Bolt moment strength (no prying)
Mnp
= 2 Pt h1
= 66.37
[kip-ft]
AISC DG16 Table 3-2
Bolt resistance factor-LRFD
φ
= 0.75
AISC 14th Eq J3-1
φ Mnp
=
= 49.78
[kip-ft]
End Plate Bending Strength
End plate width
bplate
= 8.490
[in]
thickness tp
= 0.750
[in]
Beam flange width
bfb
= 6.520
[in]
Effective end plate width
bp
= min ( bplate , bfb + 1" )
= 7.520
[in]
AISC DG4 Page 9 item 5
End plate yield strength
Fyp
= 50.0
[ksi]
See AISC DG16 Table 3-2 for all formulas to derive the following parameters
Tension bolt moment arm
h1
= 10.015
[in]
g
= 4.000
[in]
AISC DG16 Table 3-2
pfi
= 1.625
[in]
pb
= 3.000
[in]
s
= 2.742
[in]
Yp
= 58.77
[in]
Flexure resistance factor-LRFD
φb
= 0.90
AISC 14th F1 (1)
End plate bending strength
φb Mpl
= φb Fyp t2p Yp
= 123.98
[kip-ft]
AISC DG16 Table 3-2
Check thick end plate condition
φb Mpl >= 1.11 X φ Mnp
AISC DG4 Eq 3.33
ratio
= 0.45 thick plate
Column Flange Bending Strength
Use AISC DG16 Table 3-2 2 bolts end-plate yield-line formula to derive similar formula for column flange
formulas for calculating yield-line parameters

Tension bolt moment arm
h1
= 10.015
[in]
*** Stiffened Column Flange Case ***
Column section
bfc
= 8.010
[in]
tfc
= 0.515
[in]
Fyc
= 50.0
[ksi]
g
= 4.000
[in]
Stiffener plate thickness
ts
= 0.500
[in]
psi
= 1.595
[in]
pb
= 3.000
[in]
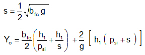
s
= 2.830
[in]
Yc
= 61.5
[in]
Flexure resistance factor-LRFD
φb
= 0.90
AISC 14th F1 (1)
Column flange bending strength
φb Mcf
= φb Fyc t2fc Yc
= 61.15
[kip-ft]
Check thick column flange condition
φb Mcf >= 1.11 X φ Mnp
AISC DG4 Eq 3.35
ratio
= 0.90 thick plate
The thick end plate and column flange conditions are met. AISG DG4 is used and
no bolt prying is considered
AISC DG4 Eq 3.33 & 3.35