|
|
|
|
|
|
|
|
|
|
|
|
STUD ANCHOR DESIGN |
Combined Tension and Shear |
|
|
|
Result Summary
|
|
|
|
|
|
|
|
|
|
| Anchor Rod Embedment, Spacing and Edge Distance
|
|
|
|
Warn
|
|
| Overall
|
|
|
|
|
ratio
|
=
|
0.75
|
OK
|
|
| Seismic Design
|
|
|
|
|
Tension
|
=
|
|
OK
|
|
|
|
|
|
|
|
Shear
|
=
|
|
OK
|
|
|
|
Design Code Reference
|
|
|
|
|
|
|
|
|
|
| Welded stud design based on
|
|
|
|
|
|
|
|
|
Code Abbreviation
|
| CSA A23.3-14 Design of Concrete Structures Annex
D
|
CSA A23.3-14
|
| PIP STE05121 Anchor Bolt Design Guide-2006
|
PIP STE05121
|
|
|
|
|
|
|
|
|
|
Code Reference
|
|
Welded Stud Data
|
|
|
|
|
|
|
|
|
|
|
| Factored tensile force
|
Nu
|
=
|
|
[kN]
|
|
|
|
| Factored shear force
|
Vu
|
=
|
|
[kN]
|
|
|
|
| Concrete strength
|
f'c
|
=
|
|
[MPa]
|
Error: the conc strength shall be 10~70 MPa
|
|
|
| Welded stud material
|
|
=
|
|
|
|
|
|
|
| Anchor tensile strength
|
futa
|
=
|
65.0 |
[MPa]
|
|
|
|
|
CSA A23.3-14
|
|
|
|
|
Anchor is ductile steel element
|
|
|
|
D.2
|
| Welded stud diameter
|
da
|
=
|
|
[in]
|
|
=
|
19.1
|
[mm] |
|
| Anchor effective cross section area
|
Ase
|
=
|
285
|
[mm2]
|
|
|
|
|
| Welded stud head bearing area
|
Abrg
|
= |
|
[mm2]
|
|
|
|
|
|
|
|
|
|
|
|
|
|
|
PIP STE05121
|
| Welded stud edge distance c1
|
c1
|
=
|
|
[mm]
|
114
|
|
OK
|
|
Page A -1 Table 1
|
| Welded stud edge distance c2
|
c2
|
=
|
|
[mm]
|
114
|
|
OK
|
|
|
| Welded stud edge distance c3
|
c3
|
=
|
|
[mm]
|
114
|
|
OK
|
|
|
| Welded stud edge distance c4
|
c4
|
=
|
|
[mm]
|
114
|
|
OK
|
|
|
| |
|
|
|
|
|
|
|
|
|
| Welded stud embedment depth
|
hef
|
=
|
|
[mm]
|
|
|
|
|
CSA A23.3-14
|
| ci ≥ 1.5hef for at least two edges to avoid reducing of hef when Nu > 0 |
|
OK
|
|
D.6.2.3 |
| Welded stud adjusted hef for design |
hef |
= |
|
[mm]
|
229
|
|
OK
|
|
D.6.2.3 |
| Concrete thickness |
ha
|
=
|
|
[mm]
|
381
|
|
Warn
|
|
|
| |
|
|
|
|
|
|
|
|
|
| Supplementary reinforcement |
|
|
|
|
|
|
|
|
|
| For tension |
|
= |
|
Condition A
|
|
|
|
D.5.3 c) |
| For shear |
Yc,v |
= |
|
Condition A
|
|
|
|
D.7.2.7 |
| |
|
|
|
|
|
|
|
|
CSA A23.3-14
|
| Provide built-up grout pad ?
|
|
=
|
|
|
|
|
|
|
D.7.1.3
|
| Concrete cracking |
|
= |
|
|
|
|
|
D.6.2.6, D.6.3.6, D.7.2.7 |
| |
|
|
|
|
|
|
|
|
CSA A23.3-14
|
| Seismic design IEFaSa(0.2) ≥0.35
|
|
=
|
|
|
|
|
|
|
D.4.3.3
|
| Welded stud load E <= 0.2U
|
Tensile
|
=
|
|
|
Shear
|
=
|
|
|
D.4.3.5.1 & D.4.3.6.1
|
| Welded stud satisfies opion
|
Tensile
|
=
|
|
Shear
|
=
|
|
D.4.3.5.3 & D.4.3.6.3
|
|
|
|
|
|
|
|
|
|
|
|
| Strength reduction factors
|
|
|
|
|
|
|
|
|
CSA A23.3-14
|
|
Concrete
|
fc
|
=
|
0.65
|
|
|
|
|
|
8.4.2
|
| Steel anchor and reinforcing bar |
fs
|
=
|
0.85
|
|
Rar |
= |
0.85 |
|
8.4.3 a) D.6.2.9 D.7.2.9 |
|
Anchor rod - ductile steel
|
Rt,s
|
=
|
0.80
|
|
Rv,s
|
=
|
0.75
|
|
D.5.3 a)
|
| Concrete |
Rt,c
|
=
|
1.15 Cdn-A
|
Rv,c
|
=
|
1.15 Cdn-A
|
D.5.3 c)
|
|
|
CONCLUSION
|
|
|
|
|
|
|
|
|
|
| Anchor Rod Embedment, Spacing and Edge Distance
|
|
|
|
Warn
|
|
|
Overall
|
ratio
|
=
|
0.75
|
OK
|
|
|
Tension
|
|
|
|
|
|
| Anchor Rod Tensile Resistance
|
ratio
|
=
|
0.51
|
OK
|
|
| Concrete Tensile Breakout Resistance |
ratio
|
=
|
0.31
|
OK
|
|
| Anchor Pullout Resistance
|
ratio
|
=
|
0.63
|
OK
|
|
| Side Blowout Resistance
|
ratio
|
=
|
0.00
|
NA
|
|
|
Shear
|
|
|
|
|
|
| Anchor Rod Shear Resistance
|
ratio
|
=
|
0.27
|
OK
|
|
| Concrete Shear Breakout Resistance - Perpendicular To Edge |
ratio
|
=
|
0.24
|
OK
|
|
| Concrete Shear Breakout Resistance - Parallel To Edge |
ratio
|
=
|
0.11
|
OK
|
|
| Concrete Pryout Shear Resistance |
ratio
|
= |
0.09
|
OK
|
|
|
Tension Shear Interaction
|
|
|
|
|
|
| Tension Shear Interaction
|
ratio
|
=
|
0.75
|
OK
|
|
|
|
|
|
|
|
|
|
Seismic Design
|
|
|
|
|
CSA A23.3-14
|
|
Tension
|
Applicable
|
|
|
|
OK
|
D.4.3.5
|
|
Seismic IEFaSa(0.2)>=0.35 and E>0.2U , Option D is selected to satisfy additional seismic requirements as per D.4.3.5.3
|
|
|
|
|
|
|
|
|
|
|
|
|
|
|
Shear
|
Applicable
|
|
|
|
OK
|
D.4.3.6
|
|
Seismic IEFaSa(0.2)>=0.35 and E>0.2U , Option C is selected to satisfy additional seismic requirements as per D.4.3.6.3
|
|
|
|
|
Assumptions
|
CSA A23.3-14
|
|
1. Concrete is cracked
|
D.6.2.6, D.6.3.6, D.7.2.7
|
|
2. Condition A - supplementary reinforcement provided
|
D.5.3 c)
|
| 3. Anchors shall be designed for factored load combinations specified in CSA A23.3-14 clause 8
|
D.4.2
|
| 4. Tensile load acts through center of bolt group Yec,N =1.0 |
D.6.2.4 |
| 5. Shear load acts through center of bolt group Yec,V =1.0 |
D.7.2.5 |
|
|
CACULATION
|
|
|
|
|
|
|
|
|
|
|
Anchor Rod Tensile Resistance
|
|
|
|
|
|
|
|
|
CSA A23.3-14
|
|
|
Nsar
|
=
|
fs Ase futa
Rt,s |
=
|
86.9
|
[kN]
|
D.6.1.2 Eq D.2
|
|
|
ratio
|
=
|
0.51
|
>
|
Nu
|
OK
|
|
|
|
|
|
|
|
|
|
|
|
Concrete Tensile Breakout Resistance |
|
|
|
CSA A23.3-14
|
|
|
Nbr
|
=
|
10fc√fchef1.5Rtc
hef<275 or hef>625
|
=
|
241.1
|
[kN]
|
D.6.2.2 Eq D.6
|
|
|
|
|
3.9 fc √fc hef(5/3) Rtc
275≤ hef ≤625
|
|
|
|
D.6.2.2 Eq D.7
|
| Projected conc failure area |
1.5 hef |
= |
|
= |
458
|
[mm] |
|
| |
ANC |
= |
[min(c1,1.5hef)+min(c3,1.5hef)]x |
= |
7.0E+05
|
[mm2] |
|
| |
|
|
[min(c2,1.5hef)+min(c4,1.5hef)] |
|
|
|
|
| |
ANCO |
= |
9 hef2 |
= |
8.4E+05
|
[mm2] |
D.6.2.1 Eq D.5 |
| |
ANC |
= |
min ( ANC, 1x ANCO ) |
= |
7.0E+05
|
[mm2] |
D.6.2.1 |
| Min edge distance |
cmin |
= |
min( c1, c2, c3, c4 ) |
= |
380
|
[mm] |
|
| Eccentricity effects |
Ψec,N |
= |
1.0 for no eccentric load |
|
|
|
D.6.2.4 |
| Edge effects |
Ψed,N |
= |
min[ (0.7+0.3cmin/1.5hef), 1.0 ] |
= |
0.95
|
|
D.6.2.5 |
| Concrete cracking |
Ψc,N |
= |
1 for cracked concrete
|
|
|
|
D.6.2.6 |
| Concrete splitting |
Ψcp,N |
= |
1.00 for cast-in anchor |
|
|
|
D.6.2.7 |
| |
|
|
|
|
|
|
|
| Concrete breakout resistance |
Ncbgr |
= |
| ANC |
Ψec,N Ψed,N Ψc,N Ψcp,N Nbr |
| ANCO |
|
= |
191.7
|
[kN]
|
D.6.2.1 Eq D.4 |
| |
|
|
|
|
|
|
|
| Seismic design strength reduction |
|
= |
x 0.75 applicable
|
= |
143.8
|
[kN]
|
D.4.3.5.4 |
|
|
ratio
|
=
|
0.31
|
>
|
Nu
|
OK
|
|
|
|
|
|
|
|
|
|
|
|
Anchor Pullout Resistance
|
|
|
|
|
|
|
CSA A23.3-14
|
| Single bolt pullout resistance
|
Npr
|
=
|
8 Abrg fc fc'
Rt,c |
=
|
94.3
|
[kN]
|
D.6.3.4 Eq D.16 |
|
|
Ncpr
|
=
|
Ψc,p Npr
|
=
|
94.3
|
[kN]
|
D.6.3.1 Eq D.15
|
|
|
Ψc,p
|
=
|
1.00 for cracked concrete
|
|
|
|
D.6.3.6
|
|
|
Rt,c
|
=
|
1.00
|
pullout strength is always Condition B
|
D.5.3 c)
|
| Seismic design strength reduction
|
|
=
|
x 0.75 applicable
|
=
|
70.7
|
[kN]
|
D.4.3.5.4
|
|
|
ratio
|
=
|
0.63
|
>
|
Nu
|
OK
|
|
|
|
|
|
|
|
|
|
|
|
Side Blowout Resistance
|
|
|
|
|
|
|
|
| |
c
|
=
|
min ( c1, c2, c3, c4 ) |
=
|
380
|
[mm]
|
|
| Check if side blowout applicable
|
hef
|
=
|
305
|
[mm]
|
|
|
|
|
CSA A23.3-14
|
|
|
|
<
|
2.5c
|
side bowout is NOT applicable
| D.6.4.1
|
| Single anchor SB resistance
|
Nsbr
|
=
|
|
=
|
0.0
|
[kN]
|
D.6.4.1 Eq D.18
|
| Edge reduction factor |
|
= |
( 1+ ca2 / ca1 ) / 4 |
= |
0.50
|
|
D.6.4.1 |
| SB resistance after edge reduction |
Nsbr
|
=
|
Nsbr x [1+ca2 / ca1] / 4
|
=
|
0.0
|
[kN]
|
D.6.4.1
|
| Seismic design strength reduction
|
|
=
|
x 0.75 applicable
|
=
|
0.0
|
[kN]
|
D.4.3.5.4
|
| |
ratio
|
=
|
0.00
|
|
Nu |
NA
|
|
|
|
|
|
|
|
|
|
|
|
Govern Tensile Resistance
|
Nr
|
=
|
min ( Nsar,
Ncbr, Ncpr,
Nsbr )
|
=
|
70.7
|
[kN]
|
|
|
|
|
|
|
|
|
|
|
|
Anchor Rod Shear Resistance
|
|
|
|
|
|
|
CSA A23.3-14
|
|
|
Vsar
|
=
|
fs Ase futa
Rv,s |
=
|
81.5
|
[kN]
|
D.7.1.2 a) Eq D.30 |
| Reduction due to built-up grout pad
|
|
=
|
x 1.0 , not applicable
|
=
|
81.5
|
[kN]
|
D.7.1.3
|
|
|
ratio
|
=
|
0.27
|
>
|
Vu
|
OK
|
|
|
|
|
|
|
|
|
|
|
|
Conc. Shear Breakout Resistance - Perpendicular To Edge |
|
|
|
|
| |
|
|
|
|
|
|
|
|
|
| |
|
|
|
|
|
|
|
| Bolt edge distance |
ca1 |
= |
c1 |
= |
380
|
[mm] |
CSA A23.3-14
|
| Limiting ca1 when anchors are influenced by 3 or more edges |
= |
No
|
|
D.7.2.4 |
| Bolt edge distance - adjusted |
ca1 |
= |
ca1 needs NOT to be adjusted
|
= |
380
|
[mm] |
D.7.2.4 |
| |
1.5ca1 |
= |
|
= |
570
|
[mm] |
CSA A23.3-14
|
| |
Avc |
= |
[min(c2,1.5ca1)+ s2 +min(c4,1.5ca1)]x |
= |
3.6E+05
|
[mm2] |
D.7.2.1 |
| |
|
|
min(1.5ca1, ha) |
|
|
|
CSA A23.3-14
|
| |
Avco |
= |
4.5ca12 |
= |
6.5E+05
|
[mm2] |
D.7.2.1 Eq D.34 |
| |
Avc |
= |
min ( Avc, 1x Avco ) |
= |
3.6E+05
|
[mm2] |
D.7.2.1 |
| |
le |
= |
min( 8da , hef ) |
= |
152
|
[mm] |
D.7.2.2 a) |
| |
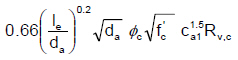
Vb1 |
= |
|
= |
144.7
|
[kN] |
D.7.2.3 Eq D.37 |
| |
Vb2 |
= |
|
= |
124.2
|
[kN] |
D.7.2.2 b) Eq D.36 |
| |
Vb |
= |
min( Vb1 , Vb2 ) |
= |
124.2
|
[kN] |
D.7.2.2 a) |
| Eccentricity effects |
Ψec,v |
= |
1.0 shear acts through center of group |
|
|
|
D.7.2.5 |
| Edge effects |
Ψed,v |
= |
min[ (0.7+0.3c2/1.5c1), 1.0 ] |
= |
0.90
|
|
D.7.2.6 |
| Concrete cracking |
Ψc,v |
= |
concrete is cracked
|
= |
1.20
|
|
D.7.2.7 |
| Member thickness |
Ψh,v |
= |
max[ (sqrt(1.5c1 / ha) , 1.0 ] |
= |
1.22
|
|
D.7.2.8 |
| |
|
|
|
|
|
|
CSA A23.3-14
|
| Conc shear breakout resistance |
Vcb |
= |
| Avc |
Ψec,v Ψed,v Ψc,v Ψh,v Vb |
| Avco |
|
= |
91.3
|
[kN] |
D.7.2.1 Eq D.33 |
| - perpendicular to edge |
|
|
|
|
|
|
|
| |
ratio |
= |
0.24
|
>
|
Vu |
OK
|
|
| |
|
|
|
|
|
|
|
| Conc. Shear Breakout Resistance - Parallel To Edge |
|
|
|
|
| |
|
|
|
|
|
|
|
| Bolt edge distance |
ca1 |
= |
min(c2 , c4) |
= |
380
|
[mm] |
CSA A23.3-14
|
| Limiting ca1 when anchors are influenced by 3 or more edges |
= |
No
|
|
D.7.2.4 |
| Bolt edge distance - adjusted |
ca1 |
= |
ca1 needs NOT to be adjusted
|
= |
380
|
[mm] |
D.7.2.4 |
| |
1.5ca1 |
= |
|
= |
570
|
[mm] |
CSA A23.3-14
|
| |
Avc |
= |
[min(c1,1.5ca1) + s1+ min(c3,1.5ca1)]x |
= |
3.6E+05
|
[mm2] |
D.7.2.1 |
| |
|
|
min(1.5ca1, ha) |
|
|
|
CSA A23.3-14
|
| |
Avco |
= |
4.5ca12 |
= |
6.5E+05
|
[mm2] |
D.7.2.1 Eq D.34 |
| |
Avc |
= |
min ( Avc, nbd Avco ) |
= |
3.6E+05
|
[mm2] |
D.7.2.1 |
| |
le |
= |
min( 8da , hef ) |
= |
152
|
[mm] |
D.7.2.2 a) |
| |
Vb1 |
= |
|
= |
144.7
|
[kN] |
D.7.2.3 Eq D.37 |
| |
Vb2 |
= |
|
= |
124.2
|
[kN] |
D.7.2.2 b) Eq D.36 |
| |
Vb |
= |
min( Vb1 , Vb2 ) |
= |
124.2
|
[kN] |
D.7.2.2 a) |
| Eccentricity effects |
Ψec,v |
= |
1.0 shear acts through center of group |
|
|
|
D.7.2.5 |
| Edge effects |
Ψed,v |
= |
|
= |
1.00 |
|
D.7.2.1 c) |
| Concrete cracking |
Ψc,v |
= |
concrete is cracked
|
= |
1.20
|
|
D.7.2.7 |
| Member thickness |
Ψh,v |
= |
max[ (sqrt(1.5ca1 / ha) , 1.0 ] |
= |
1.22
|
|
D.7.2.8 |
| |
|
|
|
|
|
|
CSA A23.3-14
|
| Conc shear breakout resistance |
Vcb-p |
= |
| 2x |
Avc |
Ψec,v Ψed,v Ψc,v Ψh,v Vb |
| Avco |
|
= |
202.9
|
[kN] |
D.7.2.1 Eq D.33 |
| - parallel to edge |
|
|
|
|
|
|
D.7.2.1 c) |
| |
ratio |
= |
0.11
|
>
|
Vu |
OK
|
|
| |
|
|
|
|
|
|
|
|
Conc. Pryout Shear Resistance
|
|
|
|
|
|
|
CSA A23.3-14
|
| |
kcp |
= |
2.0
|
|
|
|
D.7.3 |
| Factored shear pryout resistance |
Vcpr |
= |
kcp Ncbr |
= |
333.4
|
[kN] |
D.7.3 Eq D.45 |
|
|
Rv,c
|
= |
1.00 pryout strength is always Condition B |
|
D.5.3 c) |
| |
|
|
|
|
|
|
|
| Seismic design strength reduction
|
|
=
|
x 0.75 applicable
|
=
|
250.0
|
[kN]
|
D.4.3.5.4
|
|
|
ratio
|
=
|
0.09
|
>
|
Vu |
OK
|
|
|
|
|
|
|
|
|
|
|
|
Govern Shear Resistance
|
Vr
|
=
|
min ( Vsar , Vcbr , Vcbr-p , Vcpr ) |
=
|
81.5
|
[kN]
|
|
|
|
|
|
|
|
|
|
|
|
Tension Shear Interaction
|
|
|
|
|
|
|
CSA A23.3-14
|
| Check if Nu >0.2f Nn and Vu
>0.2f Vn
|
=
|
Yes
|
|
|
|
D.8.2 & D.8.3
|
|
|
|
|
Nu / f Nn + Vu / f Vn
|
=
|
0.90
|
|
D.8.4 Eq D.46
|
|
|
ratio
|
=
|
0.75
|
<
|
1.2
|
OK
|
|
|
|
|
|
|
|
|
|
|
|
Seismic Design
|
|
|
|
|
|
|
|
|
Tension
|
|
|
Applicable
|
|
|
OK
|
|
| Option D is selected.
|
CSA A23.3-14
|
User has to ensure that the tensile load Nu user input above includes
the seismic load E, with E increased
by multiplying overstrength factor RdRo=1.3 or as
specified in NBCC clause 4.1.8.18 |
D.4.3.5.3 d)
|
|
|
|
|
|
|
|
|
|
|
|
|
Seismic IEFaSa(0.2)>=0.35 and E>0.2U , Option D is selected to satisfy additional seismic requirements as per D.4.3.5.3
|
|
|
|
|
|
|
|
|
|
|
|
|
Shear
|
|
|
Applicable
|
|
|
OK
|
|
| Option C is selected.
|
|
|
|
|
|
|
CSA A23.3-14
|
User has to ensure that the shear load Vu user input above includes the
seismic load E, with E increased
by multiplying overstrength factor RdRo=1.3 or as
specified in NBCC clause 4.1.8.18 |
D.4.3.6.3 c)
|
|
|
|
|
|
|
|
|
|
|
Seismic IEFaSa(0.2)>=0.35 and E>0.2U , Option C is selected to satisfy additional seismic requirements as per D.4.3.6.3
|
|
|
|
|
|
|
|
|
|
|
|
|
|
|